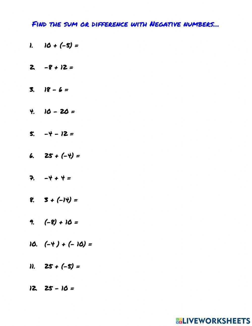
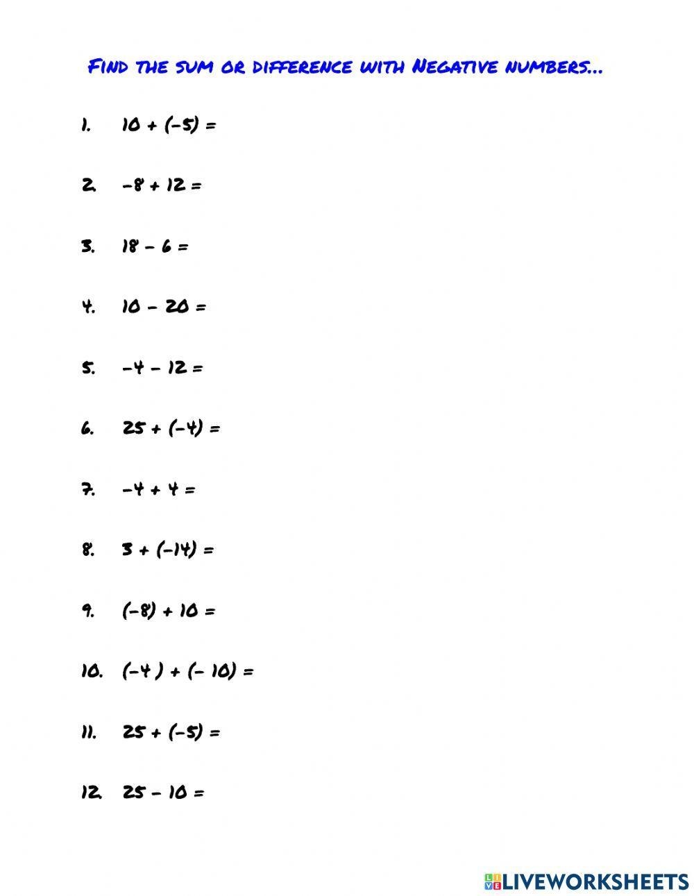
Subtracting negative numbers can be a challenging concept for students to grasp. However, with the right practice and resources, they can easily master this skill. One effective way to help students understand subtraction of negative numbers is by providing them with worksheets that offer practice problems and step-by-step instructions.
These worksheets are designed to help students visualize the concept of subtracting negative numbers and build their confidence in solving such problems. By using these worksheets, students can practice subtracting negative numbers in a structured and organized manner, which can help improve their overall understanding of the concept.
One key aspect of subtraction of negative numbers worksheet is that they often include a mix of problems that range in difficulty. This allows students to gradually build their skills and confidence as they progress through the worksheet. From basic subtraction problems to more complex ones, these worksheets offer a variety of exercises to challenge students at different levels.
Another important feature of these worksheets is that they often provide step-by-step instructions on how to solve each problem. This can be particularly helpful for students who are new to the concept of subtracting negative numbers and need guidance on how to approach each problem. By following these instructions, students can learn the proper techniques and strategies for subtracting negative numbers effectively.
Furthermore, subtraction of negative numbers worksheets often include answer keys that allow students to check their work and verify their solutions. This immediate feedback can help students identify any mistakes they may have made and learn from them. It also reinforces the importance of accuracy and precision when subtracting negative numbers.
In conclusion, subtraction of negative numbers worksheets are valuable tools for helping students master this challenging concept. By providing structured practice problems, step-by-step instructions, and answer keys, these worksheets can support students in developing their skills and confidence in subtracting negative numbers. With consistent practice and guidance, students can become proficient in subtracting negative numbers and improve their overall math skills.
