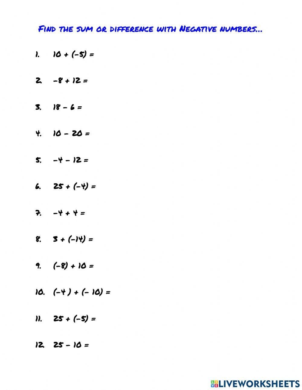
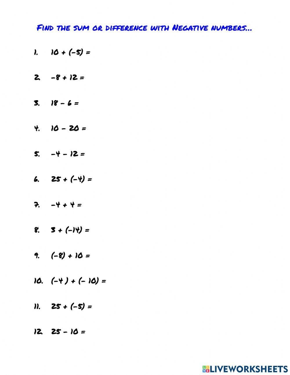
Subtracting negative numbers can often be confusing for students, but with the right practice and resources, it can become easier to understand. One helpful tool is a subtracting negative numbers worksheet, which provides practice problems and exercises to help reinforce this concept.
These worksheets typically include a variety of problems that involve subtracting negative numbers, ranging from simple equations to more complex ones. By working through these worksheets, students can improve their skills and gain confidence in subtracting negative numbers.
One common type of problem found on these worksheets is subtracting a negative number from a positive number. This scenario can be tricky for many students, but with practice, they can learn to properly apply the rules of subtracting negative numbers.
Another type of problem that may be included on these worksheets is subtracting negative numbers from other negative numbers. This can be especially challenging, as it involves dealing with double negatives. However, with consistent practice and guidance, students can master this concept.
Using a subtracting negative numbers worksheet can be a helpful way for students to practice and reinforce their understanding of this important math concept. By regularly working through these problems, students can improve their skills and feel more confident in their ability to subtract negative numbers.
Overall, a subtracting negative numbers worksheet can be a valuable resource for students looking to improve their math skills. By providing practice problems and exercises, these worksheets can help students gain a better understanding of subtracting negative numbers and build their confidence in this area of mathematics.
