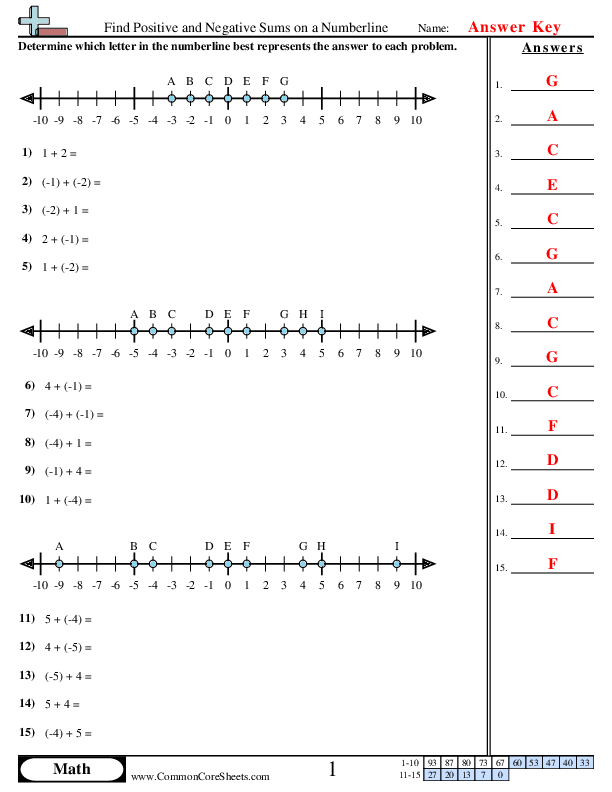
Positive and negative numbers are essential concepts in mathematics that help us understand the relative values of quantities. A number line is a visual representation that helps us visualize these numbers and their relationships. When working with positive and negative numbers on a number line worksheet, students can practice plotting points, comparing values, and performing operations with these numbers.
On a number line worksheet, students are typically asked to plot different positive and negative numbers on a number line. This exercise helps them understand the concept of magnitude and direction. Positive numbers are represented to the right of zero on the number line, while negative numbers are to the left. By practicing with a number line worksheet, students can gain a better understanding of how to interpret and work with positive and negative numbers.
One common task on a number line worksheet is to compare the values of positive and negative numbers. Students may be asked to identify which number is greater or lesser by looking at their positions on the number line. This activity helps reinforce the idea that positive numbers are greater than negative numbers of the same magnitude. By visually representing these numbers on a number line, students can develop a stronger intuition for comparing values.
Another important skill that students practice on a number line worksheet is performing operations with positive and negative numbers. Addition, subtraction, multiplication, and division of positive and negative numbers can be challenging, but using a number line as a visual aid can make these operations more concrete. By seeing the movement of numbers on the number line, students can better understand the rules for manipulating positive and negative numbers.
Overall, working with positive and negative numbers on a number line worksheet can help students develop their number sense and mathematical skills. By visually representing these numbers and their relationships, students can gain a deeper understanding of how positive and negative numbers work and how to perform operations with them. Practicing with a number line worksheet can make these concepts more engaging and accessible for students of all ages.
In conclusion, positive and negative numbers on a number line worksheet are valuable tools for helping students develop their understanding of numerical concepts. By practicing plotting points, comparing values, and performing operations with positive and negative numbers, students can improve their mathematical skills and build a strong foundation for more advanced concepts in mathematics.
