When it comes to solving mathematical expressions involving signed numbers, understanding the proper order of operations is crucial. Without following the correct sequence, you may end up with incorrect results. This is where worksheets come in handy, providing you with the opportunity to practice and solidify your understanding of the order of operations with signed numbers.
By using worksheets in PDF format, you can easily print them out and work on them at your own pace. These worksheets are designed to help you practice solving expressions that involve addition, subtraction, multiplication, and division of signed numbers. They provide a structured way to reinforce your knowledge and build confidence in your math skills.
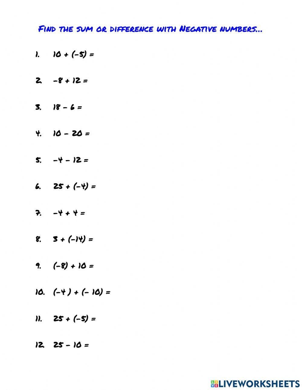
Order of Operations with Signed Numbers Worksheet PDF
One key aspect of the order of operations with signed numbers is knowing when to apply the rules for multiplying and dividing before those for adding and subtracting. This is where the mnemonic “PEMDAS” comes in handy, reminding you to perform operations in the following order: Parentheses, Exponents, Multiplication, Division, Addition, Subtraction.
When working with signed numbers, it’s important to remember that the rules for positive and negative numbers still apply. Adding a positive number is like moving to the right on the number line, while adding a negative number is like moving to the left. Similarly, subtracting a positive number is like moving to the left, while subtracting a negative number is like moving to the right.
When using worksheets to practice the order of operations with signed numbers, you’ll encounter a variety of problems that require you to apply these rules. By working through these exercises, you’ll not only improve your computational skills but also gain a deeper understanding of how signed numbers behave in mathematical operations.
With consistent practice and the use of worksheets in PDF format, you can strengthen your ability to solve expressions involving signed numbers with confidence and accuracy. Whether you’re a student looking to improve your math skills or a teacher seeking resources for your classroom, these worksheets can be a valuable tool in mastering the order of operations with signed numbers.
In conclusion, the order of operations with signed numbers worksheet PDF provides a structured way to practice and reinforce your understanding of mathematical expressions involving signed numbers. By following the correct sequence of operations and applying the rules for positive and negative numbers, you can improve your computational skills and build confidence in your math abilities.
