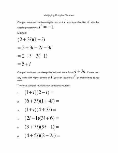
Complex numbers are numbers that consist of a real part and an imaginary part. They are often represented in the form a + bi, where a is the real part, b is the imaginary part, and i is the square root of -1. Performing operations with complex numbers can sometimes be tricky, but with practice, it becomes easier to understand and work with them.
One way to practice operations with complex numbers is by using worksheets. These worksheets provide various problems involving addition, subtraction, multiplication, and division of complex numbers. They are a great way to test your understanding of the concepts and improve your problem-solving skills.
Operations with Complex Numbers Worksheet with Answers PDF
When working on a worksheet that involves operations with complex numbers, it is important to remember the rules for each operation. Addition and subtraction of complex numbers is similar to adding or subtracting polynomials. Simply combine like terms – add or subtract the real parts and the imaginary parts separately.
Multiplication of complex numbers is done by using the distributive property and the fact that i^2 = -1. To multiply two complex numbers, multiply each term in the first number by each term in the second number, then simplify the result. Division of complex numbers involves multiplying by the conjugate of the denominator to get rid of the imaginary part in the denominator.
By practicing these operations with complex numbers worksheets, you can improve your skills and gain confidence in working with complex numbers. The answers provided in the PDF file allow you to check your work and see where you may have made mistakes. It is important to review the solutions and understand any errors you may have made to improve your understanding of the concepts.
In conclusion, operations with complex numbers can be challenging, but with practice and dedication, you can master them. Using worksheets with answers in PDF format is a great way to test your knowledge and improve your skills in working with complex numbers. Keep practicing and don’t get discouraged by mistakes – they are all part of the learning process.
