Complex Numbers Worksheet
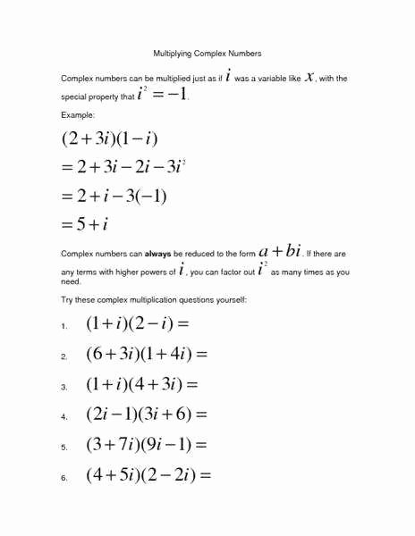
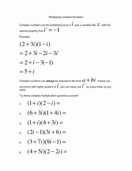
Complex numbers are an important concept in mathematics that involve both a real and imaginary part. They are typically represented in the form a + bi, where ‘a’ is the real part and ‘bi’ is the imaginary part. Understanding complex numbers is essential in various fields such as physics, engineering, and computer science.
A complex numbers worksheet is a valuable tool for practicing and mastering the concepts related to complex numbers. It typically consists of a series of problems that require students to perform operations such as addition, subtraction, multiplication, and division of complex numbers. These worksheets also include questions on finding the modulus, conjugate, and argument of complex numbers.
The worksheet may also contain word problems that require students to apply their knowledge of complex numbers in real-life situations. By solving these problems, students can enhance their problem-solving skills and gain a better understanding of how complex numbers are used in various applications.
In addition to basic operations, a complex numbers worksheet may also cover topics such as polar form, De Moivre’s theorem, and the roots of complex numbers. These advanced concepts help students deepen their understanding of complex numbers and prepare them for more complex mathematical problems.
Overall, a complex numbers worksheet is a valuable resource for students to practice and reinforce their knowledge of complex numbers. By working through the problems in the worksheet, students can improve their mathematical skills and gain confidence in dealing with complex numbers. Whether preparing for exams or simply looking to enhance their understanding of this important mathematical concept, a complex numbers worksheet is a useful tool for students at all levels.





