Adding and subtracting negative and positive numbers can be challenging for students, but with the right practice and worksheets, they can grasp the concept effectively. These worksheets are designed to help students understand the rules and operations involved in adding and subtracting numbers with different signs.
By providing a structured approach to learning, these worksheets can build a solid foundation for students to tackle more complex math problems involving negative and positive numbers in the future. They can also help students develop their critical thinking skills and improve their overall math proficiency.
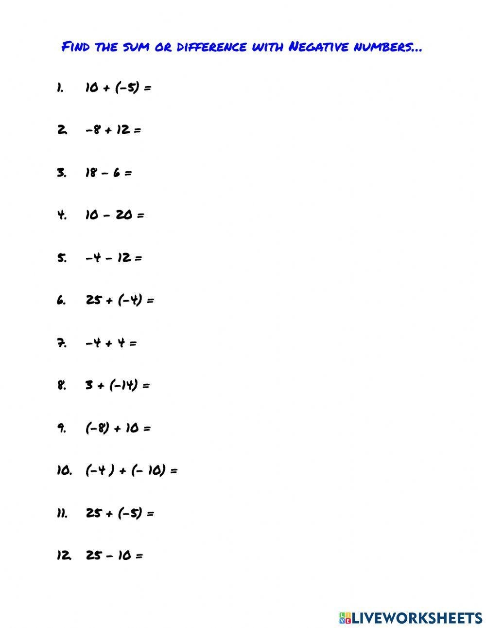
Addition and Subtraction of Negative and Positive Numbers Worksheets
These worksheets typically start with basic addition and subtraction problems involving negative and positive numbers. Students are required to identify the signs of the numbers and perform the operations accordingly. As they progress through the worksheets, the difficulty level increases, challenging students to apply the rules they have learned.
One common strategy used in these worksheets is the concept of adding a negative number being equivalent to subtracting a positive number, and vice versa. This helps students understand the relationship between addition and subtraction when dealing with numbers of different signs.
Additionally, worksheets may include real-life scenarios where students have to apply their knowledge of negative and positive numbers to solve practical problems. This helps students see the relevance of math in everyday situations and reinforces their understanding of the concepts.
Overall, addition and subtraction of negative and positive numbers worksheets are an essential tool for students to master this fundamental math skill. With consistent practice and guidance, students can improve their confidence and proficiency in working with numbers of different signs.
By providing a structured approach to learning, these worksheets can build a solid foundation for students to tackle more complex math problems involving negative and positive numbers in the future. They can also help students develop their critical thinking skills and improve their overall math proficiency.
