Adding and subtracting positive and negative numbers can be a challenging concept for students to grasp. It is essential for them to understand the rules and principles behind these operations in order to solve problems accurately. One effective way to reinforce this knowledge is through the use of worksheets that provide practice questions and exercises.
Worksheets are valuable tools for teachers to assess the understanding of their students and provide additional practice outside of the classroom. By incorporating adding and subtracting positive and negative numbers worksheets into their lessons, educators can help students strengthen their skills and build confidence in working with these types of numbers.
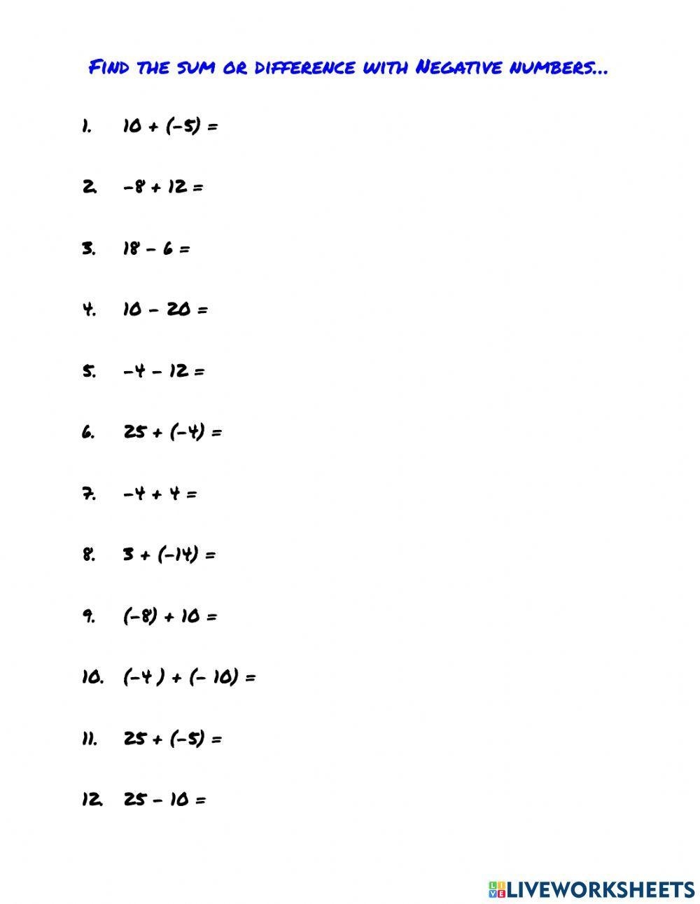
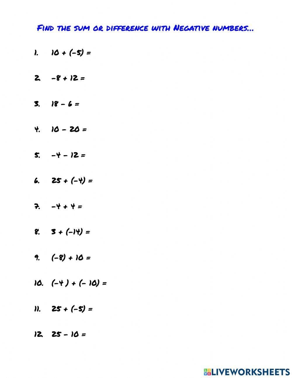
These worksheets typically include a variety of problems that require students to apply the rules of adding and subtracting positive and negative numbers. Students may be asked to solve equations, complete number lines, or fill in missing numbers in a series. Through repeated practice, students can improve their ability to perform these operations accurately and efficiently.
One common type of question found on these worksheets is adding and subtracting integers. This involves understanding the rules for adding and subtracting positive and negative numbers, as well as applying these rules to solve problems. By practicing these types of questions, students can develop a solid foundation in working with integers and improve their overall math skills.
Another important aspect of adding and subtracting positive and negative numbers worksheets is the opportunity for students to identify and correct mistakes. By reviewing their work and checking their answers, students can learn from their errors and improve their problem-solving abilities. This process of self-assessment is crucial for students to develop a deeper understanding of the concepts involved.
In conclusion, adding and subtracting positive and negative numbers worksheets are valuable tools for students to practice and master this essential math skill. By incorporating these worksheets into their lessons, teachers can help students build confidence and proficiency in working with these types of numbers. With consistent practice and review, students can improve their understanding of adding and subtracting positive and negative numbers and become more confident in their math abilities.
