Negative numbers can often be tricky for students to grasp, but with the right practice and resources, they can become more comfortable with these concepts. One effective way to help students improve their understanding of adding and subtracting negative numbers is through the use of worksheets. These worksheets provide a structured approach to practicing these operations and can help students build confidence in their math skills.
By using worksheets specifically designed for adding and subtracting negative numbers, students can work through various problems and scenarios that require them to apply these operations. This hands-on practice is essential for reinforcing the rules and principles behind adding and subtracting negative numbers, helping students develop a deeper understanding of these concepts.
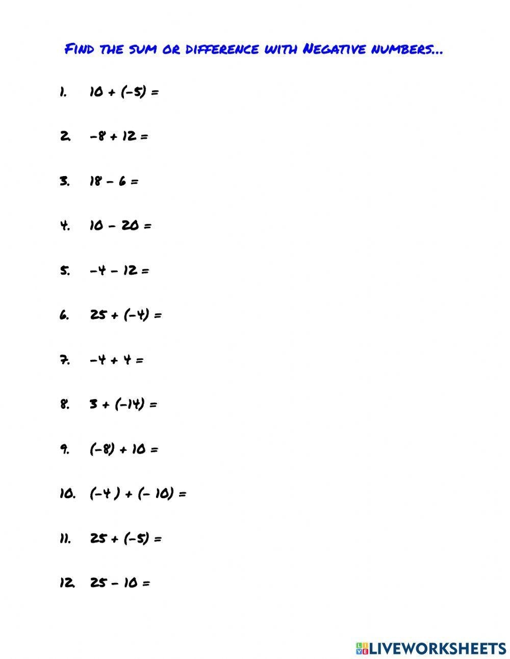
Adding and Subtracting Negative Numbers Worksheet
One common type of problem found on adding and subtracting negative numbers worksheets is the integer addition and subtraction problems. These problems typically involve a mix of positive and negative integers that students must add or subtract to arrive at the correct answer. By working through these problems, students can practice applying the rules for adding and subtracting negative numbers in a variety of contexts.
Another type of problem that can be included on these worksheets is real-world scenarios that require students to add or subtract negative numbers. These problems help students see the practical applications of adding and subtracting negative numbers in everyday life, making the concepts more relatable and easier to understand.
As students progress through adding and subtracting negative numbers worksheets, they can encounter increasingly complex problems that challenge their understanding of these operations. These advanced problems can help students develop critical thinking skills and problem-solving abilities, as they must apply the rules for adding and subtracting negative numbers in more challenging scenarios.
Overall, adding and subtracting negative numbers worksheets provide a valuable tool for helping students improve their math skills and build confidence in their ability to work with negative numbers. By practicing these operations in a structured and guided manner, students can develop a deeper understanding of adding and subtracting negative numbers and improve their overall math proficiency.
In conclusion, adding and subtracting negative numbers worksheets offer a practical and effective way for students to practice and improve their skills in working with negative numbers. By incorporating a variety of problem types and scenarios, these worksheets can help students develop a strong foundation in adding and subtracting negative numbers, setting them up for success in their math studies.
